DCDC電源基本原理與名詞解釋
2020/6/30 21:56:41 點擊:
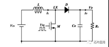
DCDC的基本電路原理

Boost利用L和Co的儲能作用,通過開關管的開啟和關斷兩個狀態,在一個周期內上圖完成兩個工作狀態:

(a) 代表功率管M開啟,此時Vin對電感充電,電感電流開始以一定的斜率上升,斜率Sn=Vin/L.
(b) 代表功率管M關斷,此時輸出電容Co需要能量補給,即電感能量的傳輸。二極管導通,電感電流通過二極管傳輸給負載,同時補充Co損失的電荷,為下個周期準備。
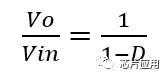
先大概了解了Boost的過程,再逐步考慮系統穩定的條件。穩態下,每個周期輸入端的能量剛好給輸出端。電感的電流在每個周期開始(Ton)和結束(Toff)時,大小剛好相同,輸出電壓在每個周期開始和結束時剛好相同。電感電流和輸出電壓的過程圖如下圖。D代表占空比,一個周期為Tsw。

在Ton階段,輸入端與輸出端斷開,電感兩端的電壓就是Vin,所以電感電流的上升斜率為Vin/L,在Ton這段時間內,電感電流上升為公式(1)

(公式1)
在Toff階段,電感兩端的電壓是Vin-Vo,電感電流下降斜率為(Vin-Vo)/L,電感電流的下降大小為(公式2)
(公式2)
兩個階段要想平衡穩定,要求電感電流的上升大小和下降大小相等,也就是公式1和公式2相等。

(公式3)
至此以上就闡述了Boost升壓的基本原理,以上是基于大信號模型,也就是CCM模式(連續電流模式),電感電流整個過程中連續。
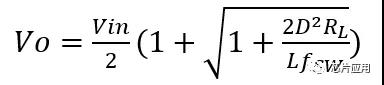
但是在某些條件下,例如負載很輕,電感電流可能為零。這時候進入到我們常說的DCM模式(不連續電流模式)。電感電流為0后,二極管截止,跟前面CCM模式相比電路有了第三種狀態,負載很輕,即只有輸出端給負載提供電流,輸入一端電感電流為0的狀態。
此時的輸出電壓推導稍有復雜,直接給到公式5如下:

(公式5)
此時輸出取決于占空比D之外,還有頻率,電感和負載的因素。
國產電源芯片代理,充電管理芯片代理,觸摸芯片代理,錦鋒科技,www.004048.com

Boost利用L和Co的儲能作用,通過開關管的開啟和關斷兩個狀態,在一個周期內上圖完成兩個工作狀態:

(a) 代表功率管M開啟,此時Vin對電感充電,電感電流開始以一定的斜率上升,斜率Sn=Vin/L.
(b) 代表功率管M關斷,此時輸出電容Co需要能量補給,即電感能量的傳輸。二極管導通,電感電流通過二極管傳輸給負載,同時補充Co損失的電荷,為下個周期準備。
先大概了解了Boost的過程,再逐步考慮系統穩定的條件。穩態下,每個周期輸入端的能量剛好給輸出端。電感的電流在每個周期開始(Ton)和結束(Toff)時,大小剛好相同,輸出電壓在每個周期開始和結束時剛好相同。電感電流和輸出電壓的過程圖如下圖。D代表占空比,一個周期為Tsw。

在Ton階段,輸入端與輸出端斷開,電感兩端的電壓就是Vin,所以電感電流的上升斜率為Vin/L,在Ton這段時間內,電感電流上升為公式(1)

(公式1)
在Toff階段,電感兩端的電壓是Vin-Vo,電感電流下降斜率為(Vin-Vo)/L,電感電流的下降大小為(公式2)
(公式2)
兩個階段要想平衡穩定,要求電感電流的上升大小和下降大小相等,也就是公式1和公式2相等。

(公式3)
于是推導出Boost的大信號關系為如下公式4

至此以上就闡述了Boost升壓的基本原理,以上是基于大信號模型,也就是CCM模式(連續電流模式),電感電流整個過程中連續。
但是在某些條件下,例如負載很輕,電感電流可能為零。這時候進入到我們常說的DCM模式(不連續電流模式)。電感電流為0后,二極管截止,跟前面CCM模式相比電路有了第三種狀態,負載很輕,即只有輸出端給負載提供電流,輸入一端電感電流為0的狀態。
此時的輸出電壓推導稍有復雜,直接給到公式5如下:

(公式5)
此時輸出取決于占空比D之外,還有頻率,電感和負載的因素。
國產電源芯片代理,充電管理芯片代理,觸摸芯片代理,錦鋒科技,www.004048.com
- 上一篇:A4931/GC4931 按摩槍筋膜槍馬達驅動芯片介紹 2020/6/30
- 下一篇:DCDC升壓 內置升壓功放損壞常被忽視的地方 2020/6/30

